Hochtemperatur-PEM-Brennstoffzellenmodell in AVL CRUISE™ M
Christoph Pötsch, Principle Development Engineer
Im Release 2024 R1 bietet CRUISE M ein spezielles Modell für HT-PEM in der bewährten PEM-Brennstoffzellen-Stack-Komponente. Damit verfügt es über alle grundlegenden Funktionen und Vorteile des Multidömänen- und Multiskalen-Modellierungsansatzes von CRUISE M. Das elektrochemische Modell berücksichtigt die Formulierung der Nernst-Gleichung und den Aktivierungsverlust auf der Grundlage der Butler-Volmer-Gleichung sowie die Berechnung von ohmschen und Transportverlusten. Auf diese einzelnen Phänomene werden wir später im Text noch einmal eingehen. Ein spezielles Modell für die Membrandiffusion der Reaktionsspezies vervollständigt das Bild.
Unter uns gesagt, die Modellierung von HT-PEMs ist in mancher Hinsicht sogar einfacher als die von LT-PEMs, da komplexe, schwer zu parametrisierende Phänomene wie die transiente Befeuchtung der Membran und die Bildung und Abfuhr von flüssigem Wasser ausgeschlossen werden. In Abwesenheit von Membranbefeuchtungseffekten tritt das elektrochemische Modellverhalten und seine Sensitivität gegenüber veränderten Randbedingungen in den Vordergrund. Während der Entwicklung und Validierung des Modells wurden mehrere elektrochemische Modellkonstanten identifiziert, um die Vorhersagegenauigkeit für HT-PEM-Systeme zu erhöhen – und damit auch die entsprechenden Modelle für LT-PEM-Brennstoffzellen und Elektrolyseure zu verbessern. Überzeugen Sie sich selbst im nächsten Abschnitt.
Das HT-PEM-Modell wird mit Daten aus der Literatur validiert, die stationäre Polarisationskurven bei verschiedenen Temperaturen, Einlassspezieskonzentrationen und Massendurchsätzen umfassen. Der umfangreiche Datensatz ermöglicht es dem Elektrochemie-Ingenieur, die wichtigsten relevanten Verlustbeiträge zu untersuchen, darunter ohmsche Verluste, Aktivierungs- und Transportverluste.
Betrachten wir zunächst einen der wichtigsten Betriebsparameter: die Stack-Temperatur. Die Referenzdaten enthalten vier Polarisationskurven bei Temperaturen zwischen 130 und 180 °C. Abbildung 1a zeigt einen Vergleich zwischen dem Experiment (Punkte) und der Simulation (Linien) für die Zellspannung, die gut übereinstimmen.
Je höher die Temperatur, desto besser ist der Wirkungsgrad des Stacks. Fragen Sie sich, was die Ursache für diesen Trend ist? Der Virtuelle Zwilling ermöglicht eine genauere Analyse der einzelnen Verlustbeiträge, die in Abbildung 1b dargestellt sind. Das Aktivierungspotential (untere Linien) ist bei allen Temperaturen ähnlich, während der Hauptunterschied bei den ohmschen Verlusten zu sehen ist. Grundlegend nehmen sie linear mit der Stromdichte zu. Ihr Gradient, der ohmsche Widerstand, ist umso kleiner, je höher die Stacktemperatur ist. Im Modell ist dieser Trend durch die temperaturabhängige Ionenleitfähigkeit gegeben, die über die Stoffwertedatenbank von SDT definiert ist.

Was passiert, wenn der Stack mit reinem Sauerstoff anstelle von Luft als Kathodengas betrieben wird? Dank der Tatsache, dass das elektrochemische Modell die Spezieskonzentrationen in der Nernst-Spannung und in der Butler-Volmer-Gleichung berücksichtigt, ist es möglich, ein solches Szenario zu simulieren. Die entsprechenden Ergebnisse sind in Abbildung 2a dargestellt und mit Messungen verglichen. Die Verlustanalyse in Abbildung 2b zeigt die einzelnen Beiträge. Der ohmsche Widerstand ist für beide Kurven identisch und daher nicht dargestellt. Sowohl der Beitrag der Nernst-Spannung als auch der Aktivierungsverlust sind bei höherer Reaktionsspezieskonzentration geringer. Daraus folgt das in den Messungen gezeigte Zellspannungsverhalten, das im Modell gut wiedergegeben wird.

Ohmscher Verlust – check! Aktivierungsverlust – check!
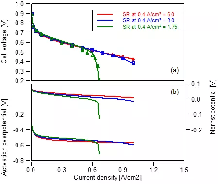
Wie sieht es mit Transportverlusten aus? Zu diesem Zweck untersuchen wir eine Variation der Luftzufuhr. Für jede Polarisationskurve wird der Massendurchsatz über das stöchiometrische bei einer Stromdichte von 0,4 A/cm² definiert. Die Ergebnisse sind in Abbildung 3 dargestellt. Bei hoher (rot) und mittlerer (blau) Durchflussrate werden dem System ausreichend Reaktionsspezies zugeführt. Bei der mittleren Durchflussrate wird bei hohen Stromdichten nur ein geringer Spannungsabfall beobachtet. Bei der niedrigsten Durchflussrate (grün) wird bei den Messungen eine Begrenzung der Stromdichte aufgrund des Sauerstoffmangels beobachtet, was im Modell gut wiedergegeben wird.

Die im vorigen Abschnitt gezeigte Ergebnisqualität kann nur mit erheblichem Zeit- und Arbeitsaufwand erreicht werden - oder durch die Verwendung eines automatischen Arbeitsablaufs wie dem Parametrisierungs-Wizard in CRUISE M. Für die Entwicklung und Validierung des HT-PEM-Modells haben wir uns für Letzteres entschieden. Es erwies sich als nützlich, dass der Wizard in 2024 R1 erheblich überarbeitet wurde. Das folgende Video richtet sich an Simulationsingenieure, die bereits mit dem Arbeitsablauf vertraut sind, und stellt die wichtigsten Verbesserungen vor.
Hochtemperatur-PEM-Brennstoffzellen sind eine interessante Alternative zu herkömmlichen Niedertemperatur-Brennstoffzellen. Sie arbeiten bei Temperaturen von bis zu 200 °C und sind bekanntermaßen weniger empfindlich gegenüber Verunreinigungen des zugeführten Wasserstoffs. CRUISE M greift diese Technologie mit einem neuen HT-PEMFC-Modell auf. Mit Hilfe des automatischen Parametrisierungs-Wizards wird das Modell für eine Vielzahl von Betriebsbedingungen validiert, darunter verschiedene Temperaturen, Speisegaskonzentrationen und Massendurchflussraten, die eine hervorragende Übereinstimmung aufweisen.
Verpassen Sie keinen Simulations Blog
Melden Sie sich noch heute an und bleiben Sie informiert!
Weitere Ressourcen
Verpassen Sie keinen Simulations Blog
Melden Sie sich noch heute an und bleiben Sie informiert!