シミュレーションソリューション | 自動車

AVL EXCITE™ Mによる高調波電流注入 (HCI) のシミュレーション

Published on November 18, 2025 · 2 min read

電気自動車の普及が進む中、 NVH (騒音・振動・ハーシュネス) は重要な品質指標の1つとなっています。有望な解決策である高調波電流注入 (HCI) は、試作機製作前の段階からNVH課題に対応できるよう、仮想環境上でシミュレーションが可能です。

Header Harmonic Current Injection Blog

潜在的な励振要因をより深く理解するため、AVL EXCITE™ Mを用いてe-ドライブシステムを詳細にモデル化しました。
シャフトおよび軸受に加え、ハウジング部品は弾性体として表現しました。
e-マシンの電磁励振は、AVL E-Motor Tool™(EMT)により事前計算し、FEMベースの回路モデル(File Based Model)を介してシミュレーションへ統合しました。

続いて、仮想ランアップを実施しました。

  • 回転速度範囲:1000~9000 rpm
  • 負荷:175 Nm(一定)
  • 継続時間:9秒

本シナリオは実車における典型的な加速挙動に相当し、全運転領域にわたる共振の検出を可能とします。ハウジング上の複数の仮想計測点で加速度を記録しました。
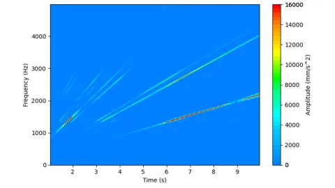
その結果、特定の計測点において約1600 rpm付近で顕著な共振が確認されました。短時間フーリエ変換 (STFT) により、約1280 Hzにおける強い振動応答が明らかとなりました。これはハウジング固有モードの励起を示す典型的な兆候です(図1参照)。

STFT of acceleration at the critical virtual measurement point with a critical resonance after approx. 1.85 seconds and at about 1280 Hz.
図1:特定の仮想計測点における加速度のSTFT結果。約1.85秒後、約1280 Hz付近で顕著な共振が確認される。

単に共振を特定するだけでは、重要な問いである「励振源はどこか」への答えにはなりません。
そこで、1600 rpmの運転点において、システム全体のモーダル解析を実施しました。
軸受およびギヤ剛性に起因する非線形効果を含めてシステム剛性を線形化し、実機搭載状態(installed state) におけるシステム特性を表現しました。
解析の結果、固有振動数が約1365 Hzに位置するモード35、37、38が振動挙動を支配していることが示されました。ランアップで得られた変形パターンとの比較により、その一致も確認されました(図2参照)。
 

Figure 2: Top: Global movement of the e-drive housing. Bottom: Eigenforms of the three most contributing eigenmodes 35, 37, 38 (from left to right).
図2: 上段:e-ドライブハウジングの全体変位 下段:寄与の大きい3つの固有モード35、37、38の固有形状(左から右)

次に、伝達経路解析(TPA)を実施しました。問題となるハウジング上の計測点を基準とし、伝達経路を遡って評価しました。
その結果、励振は主として軸受を介してハウジングに伝達されていることが明らかになりました。
スペクトル解析により、1280 Hzにおける支配的な励振成分を特定されました。これはe-マシンの48次成分と一致しています。
原因は明確であり、48個のステータ歯に起因するトルクリップルがシャフトおよび軸受を介してハウジングに伝達され、前述の固有モードを励起していたことが分かりました。
 

Figure 3: Result of the Transfer Path Analysis (TPA/NTPA)
図3:伝達経路解析(TPA/NTPA)の結果

本課題への対策として、 高調波電流注入(HCI)を適用しました。
本手法は、ステータに意図的に高調波電流成分を注入し、逆位相の励振を生成します。振幅および位相を適切に設定することで、主励振と逆位相励振が相互に打ち消し合います。
EXCITE Mでは、デジタルツイン上でパラメーター最適化を実施しました。その結果、臨界運転点に対して以下の値が得られました。

  • 振幅:定格電流のおよそ30%
  • 位相差:基準励振に対して約14°

重畳された48次高調波は、シミュレーション上の電流波形において明確に確認されました。
その効果は即座に確認され、トルクにおける48次成分は約75%低減しました。さらに、臨界ハウジング点における加速度は約60%低減しました(図4および図5参照)。

Figure 4: Comparison of Motor Torque With and Without HCI
図4:HCI適用有無によるモータートルクの比較

1000~9000 rpmの再ランアップにおいても、HCIの有効性が確認されました。元のモデルでは1600 rpm(約1.85秒)付近で顕著な共振増幅が見られましたが、最適化モデルではこれがほぼ消失しました(図5参照)。本結果は、NVH課題が検出可能であるだけでなく、デジタルツイン上で信頼性高く解決できることを示しています。
 

STFT of acceleration at the critical virtual measurement point with resonance reduced by HCI after approx. 1.85 seconds and at about 1280 Hz.
図5:特定の仮想計測点における加速度のSTFT結果。約1.85秒後、約1280 Hz付近で、HCI適用により低減された共振が示されている。

本ケーススタディは、NVH 最適化プロセスが後工程の試験ベンチ中心の検証から、デジタルツインを活用した開発初期段階でのモデルベース根本原因解析へと移行していることを示しています。EXCITE MおよびEMTを活用することで、重要な共振モードの特定、その励振メカニズムの解明、さらにはHCIなどの対策をモデル上で直接最適化することが可能です。エンジニアにとっては、システムレベルでの理解深化、設計初期段階における定量的根拠に基づく意思決定、ならびにハードウェア試験時のリスク低減につながります。企業にとっては、開発コストの低減、市場投入までの期間短縮、顧客満足度の向上といった、明確な競争優位性につながります。

最新の情報をお見逃しなく

シミュレーションのブログシリーズをご覧ください。今すぐ登録して最新情報を受け取りましょう。

本トピックの詳細はこちら

gl-ast_image_blog-root-cause-analysis-header_2025
パワートレインNVHの基礎 - NVH解析のステップ・バイ・ステップガイド

根本原因の分析は通常、対処すべき問題が特定された後に実施されます。NVH(騒音・振動・ハーシュネス)分析に使用されるシミュレーションモデルの場合、最初のプロトタイプが構築される前に、振動や共振の増加を積極的に探し、モデルを最適化することが望ましいです。

AVL SIMpulse E-Drive Key Visual 2025
AVL SIMpulse:e-ドライブを進化させるベアリングの重要性
デジタル

次回のAVL SIMpulseで、eモーター内部のベアリング挙動という“ブラックボックス”を解き明かします。

 

NVH Simulation for Transmission and E-Drive
NVH Simulation for Transmission and E-Drive

最高精度のシミュレーション手法により、電動駆動ユニットのNVHを高精度に予測することが可能です。設計段階から音響解析まで、ワークフロー全体をカバーします。シミュレーションは時間領域で実行されるため、現実の物理挙動を単純化 (線形化)する必要がありません。

nvh-webinar
高精度e-モーター動力学とNVH解析の最前線
オンデマンド

e-モーターの励起を正しく考慮することは、e-ドライブのNVH解析において不可欠です。通常、固定子に作用する電磁力や回転子のトルクは、電磁解析ツールを用いて事前に計算されます。

gl-ast_image_blog-wavelet-excite-m-header_2025_0.
EXCITEで乗りこなすウェーブレット信号解析

この記事は、信号処理に由来する時間‐周波数解析(Time-Frequency Analysis)という手法について説明しています。
簡単に言うと、これは時間の経過に伴って得られる信号(またはシミュレーション結果)から、その周波数成分を求める方法です。

最新のシミュレーションのブログ記事をお見逃しなく

シミュレーションのブログシリーズをご覧ください。今すぐ登録して最新情報を受け取りましょう。

Account
Name
Second row

By submitting, AVL will use the data you provided to process your request. Click here to view AVL Privacy Policy

CAPTCHA
この質問はあなたが人間の訪問者であるかどうかをテストし、自動化されたスパム送信を防ぐためのものです。